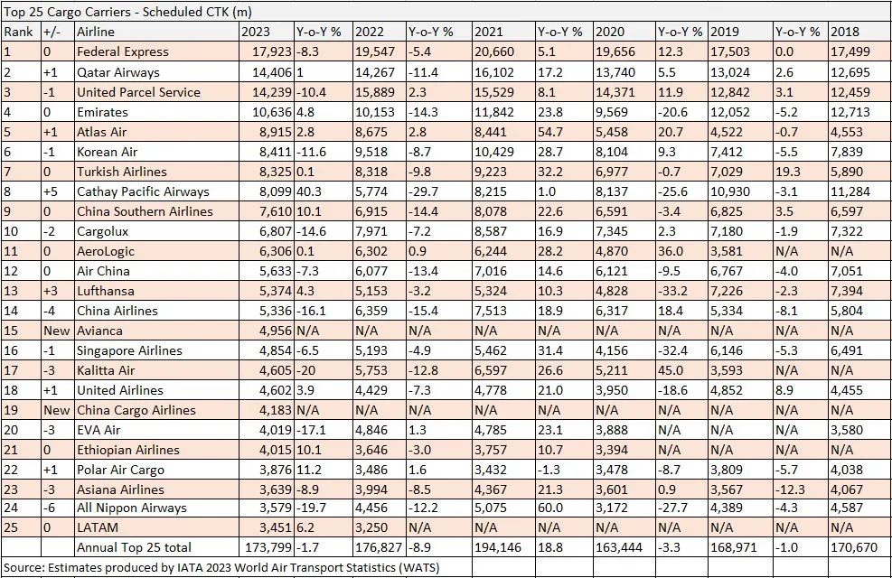
国际航协(IATA)世界航空运输统计 (WATS) 发布了2023年全球货运航空公司排名。据报告显示,2023年全球需求以货运吨公里 (CTKs) 衡量,排名前25位的货运航空公司同比下降了1.7%。
联邦快递在前25家货运航空公司中依旧保持领先地位,全年货运量179 亿CTK,同比下降8.3%。

卡塔尔航空排名超越UPS上升至第2名,全年货运量144亿CTK,同比上升1%。

UPS排名下降1位至第3名,全年货运量142亿CTK,同比下降10.4%。

此外,国泰航空排名大幅上升,排名至第8名,中国货运航空新上榜,排名第19位。完整榜单如下:
1.联邦快递(FedEx)
2.卡塔尔航空(Qatar Airways)
3.联合包裹(UPS)
4.阿联酋航空(Emirates)
5.阿特拉斯航空(Atlas Air)
6.大韩航空(Korean Air)
7.土耳其航空(Turkish Airlines)
8.国泰航空(Cathay Pacific Airways)
9.中国南航
10.卢森堡货航(Cargolux)
11.AeroLogic
12.中国国际航空
13.汉莎航空(Lufthansa)
14.中华航空
15.阿维安卡航空(Avianca)
16.新加坡航空(Singapore Airlines)
17.卡利塔航空(Kalitta Air)
18.美国联合航空(United Airlines)
19.中国货运航空
20.长荣航空(EVA Air)
21.埃塞俄比亚航空(Ethiopian Airlines)
22.极地航空货运(Polar Air Cargo)
23.韩亚航空(Asiana Airlines)
24.全日空航空(All Nippon Airways)
25.拉丁美洲航空(LATAM)

